문제

위와 같은 STATION 테이블에서, \(P_{1}(a, b), P_{2}(c, d)\)를 정의

- a: LAT_N의 최소값

- b: LONG_W의 최소값

- c: LAT_N의 최대값

- d: LONG_W의 최대값

일 때,

1번 문제: \(P_{1}\)과 \(P_{2}\) 사이의 맨하탄 거리를 구하고, 소숫점 4자리로 반올림

2번 문제:  \(P_{1}\)과 \(P_{2}\) 사이의 유클리디안 거리를 구하고, 소숫점 4자리로 반올림

※ 맨하탄 거리 \(d(P_{1}, P_{2}) = (|a - c|) + (|b - d|)\)

※ 유클리디안 거리 \(d(P_{1}, P_{2}) = \sqrt{(a - c)^{2} + (b - d)^{2}}\)

 

풀이

-- 1번. 맨하탄 거리
-- a: MIN(LAT_N)
-- b: MIN(LONG_W)
-- c: MAX(LAT_N)
-- d: MAX(LONG_W)
-- ABS(): 절댓값(| |)
-- ROUND(a, n): a를 소숫점 n자리로 반올림
SELECT ROUND(ABS(MIN(LAT_N) - MAX(LAT_N)) + ABS(MIN(LONG_W) - MAX(LONG_W)), 4) FROM STATION

-- 출력
259.6859
-- 2번. 유클리디안 거리
-- a: MIN(LAT_N)
-- b: MIN(LONG_W)
-- c: MAX(LAT_N)
-- d: MAX(LONG_W)
-- SQRT(): 제곱근
-- POWER(a, n): a의 n제곱
-- ROUND(a, n): a를 소숫점 n자리로 반올림
SELECT ROUND(SQRT(POWER(MIN(LAT_N) - MAX(LAT_N), 2) + POWER(MIN(LONG_W) - MAX(LONG_W), 2)), 4) FROM STATION

-- 출력
184.1616

 

'SQL' 카테고리의 다른 글

[HackerRank] New Companies(MySQL)  (0) 2024.05.11
[HackerRank] Occupations(MySQL)  (0) 2024.04.08
[HackerRank] Occupations(MySQL)  (0) 2024.04.01
[HackerRank] The PADS(MySQL)  (0) 2024.03.20

문제

테이블로부터
회사 코드 | 설립자 | Lead Manager 총원 |  Senior Manager 총원 |  Manager 총원 | Employee 총원
을 계산한 테이블을 출력하고, 회사 코드 기준으로 오름차순 정렬

 

풀이

1. Employee 테이블에 설립자를 제외한 각 직급별 데이터가 다 나와 있으므로, Employee 테이블과 Company 테이블만 JOIN하여 COUNT

SELECT 
    C.company_code,
    C.founder,
    COUNT(DISTINCT E.lead_manager_code),
    COUNT(DISTINCT E.senior_manager_code),
    COUNT(DISTINCT E.manager_code),
    COUNT(DISTINCT E.employee_code)
FROM Company C
    LEFT JOIN Employee E ON C.company_code = E.company_code
GROUP BY
    C.company_code,
    C.founder
ORDER BY C.company_code

-- 출력
C1 Angela 1 2 5 13 
C10 Earl 1 1 2 3 
C100 Aaron 1 2 4 10 
C11 Robert 1 1 1 1 
C12 Amy 1 2 6 14 
C13 Pamela 1 2 5 14 
C14 Maria 1 1 3 5 
C15 Joe 1 1 2 3 
C16 Linda 1 1 3 5 
C17 Melissa 1 2 3 7 
C18 Carol 1 2 5 6 
C19 Paula 1 2 4 7 
C2 Frank 1 1 1 3 
C20 Marilyn 1 1 2 2 
C21 Jennifer 1 1 3 7 
C22 Harry 1 1 3 6 
C23 David 1 1 1 2 
C24 Julia 1 1 2 6 
C25 Kevin 1 1 2 5 
C26 Paul 1 1 1 3 
C27 James 1 1 1 3 
C28 Kelly 1 2 5 9 
C29 Robin 1 2 4 9 
C3 Patrick 1 2 2 5 
C30 Ralph 1 1 2 5 
C31 Gloria 1 1 1 3 
C32 Victor 1 2 4 8 
C33 David 1 2 5 12 
C34 Joyce 1 2 6 10 
C35 Donna 1 2 6 12 
C36 Michelle 1 2 5 11 
C37 Stephanie 1 1 2 5 
C38 Gerald 1 2 4 6 
C39 Walter 1 1 3 7 
C4 Lisa 1 1 1 1 
C40 Christina 1 1 3 6 
C41 Brandon 1 2 3 7 
C42 Elizabeth 1 2 4 8 
C43 Joseph 1 2 4 6 
C44 Lawrence 1 1 3 4 
C45 Marilyn 1 1 1 3 
C46 Lori 1 2 3 9 
C47 Matthew 1 2 3 4 
C48 Jesse 1 1 3 3 
C49 John 1 1 3 8 
C5 Kimberly 1 2 3 9 
C50 Martha 1 1 2 5 
C51 Timothy 1 2 5 12 
C52 Christine 1 1 2 2 
C53 Anthony 1 1 1 1 
C54 Paula 1 2 4 7 
C55 Kimberly 1 2 2 3 
C56 Louise 1 1 1 3 
C57 Martin 1 1 2 5 
C58 Paul 1 2 4 8 
C59 Antonio 1 1 2 4 
C6 Bonnie 1 1 2 6 
C60 Jacqueline 1 1 1 2 
C61 Diana 1 1 1 1 
C62 John 1 2 5 11 
C63 Dorothy 1 2 5 7 
C64 Evelyn 1 1 1 2 
C65 Phillip 1 2 4 8 
C66 Evelyn 1 2 4 11 
C67 Debra 1 1 1 3 
C68 David 1 2 5 9 
C69 Willie 1 1 1 3 
C7 Michael 1 1 1 2 
C70 Brandon 1 2 4 7 
C71 Ann 1 2 5 10 
C72 Emily 1 2 3 7 
C73 Dorothy 1 1 1 2 
C74 Jonathan 1 2 4 7 
C75 Dorothy 1 1 2 4 
C76 Marilyn 1 2 5 12 
C77 Norma 1 2 5 10 
C78 Nancy 1 2 3 7 
C79 Andrew 1 1 2 2 
C8 Todd 1 1 1 3 
C80 Keith 1 1 1 2 
C81 Benjamin 1 1 3 9 
C82 Charles 1 1 2 3 
C83 Alan 1 2 3 4 
C84 Tammy 1 1 1 3 
C85 Anna 1 2 4 8 
C86 James 1 1 3 5 
C87 Robin 1 2 3 5 
C88 Jean 1 1 2 3 
C89 Andrew 1 2 4 7 
C9 Joe 1 1 3 6 
C90 Roy 1 1 2 3 
C91 Diana 1 2 2 2 
C92 Christina 1 1 1 3 
C93 Jesse 1 1 2 2 
C94 Joyce 1 2 5 13 
C95 Patricia 1 1 3 5 
C96 Gregory 1 1 2 2 
C97 Brian 1 1 1 1 
C98 Christine 1 1 2 5 
C99 Lillian 1 1 2 6

 

 2. Employee 테이블에는 Lead Manager나 Senior Manager, Manager 중 하위 직급이 없는 사람에 대한 정보가 없으므로 완벽한 정보를 가지지 않을 수 있으므로, 상위 직급의 테이블도 연쇄적으로 JOIN하여 누락을 방지할 필요가 있음

SELECT 
    C.company_code,
    C.founder,
    COUNT(DISTINCT L.lead_manager_code),
    COUNT(DISTINCT S.senior_manager_code),
    COUNT(DISTINCT M.manager_code),
    COUNT(DISTINCT E.employee_code)
FROM Company C
    LEFT JOIN Lead_Manager L ON C.company_code = L.company_code
    LEFT JOIN Senior_Manager S ON L.company_code = S.company_code
    LEFT JOIN Manager M ON L.company_code = M.company_code
    LEFT JOIN Employee E ON L.company_code = E.company_code
GROUP BY
    C.company_code,
    C.founder
ORDER BY C.company_code

-- 출력
C1 Angela 1 2 5 13 
C10 Earl 1 1 2 3 
C100 Aaron 1 2 4 10 
C11 Robert 1 1 1 1 
C12 Amy 1 2 6 14 
C13 Pamela 1 2 5 14 
C14 Maria 1 1 3 5 
C15 Joe 1 1 2 3 
C16 Linda 1 1 3 5 
C17 Melissa 1 2 3 7 
C18 Carol 1 2 5 6 
C19 Paula 1 2 4 7 
C2 Frank 1 1 1 3 
C20 Marilyn 1 1 2 2 
C21 Jennifer 1 1 3 7 
C22 Harry 1 1 3 6 
C23 David 1 1 1 2 
C24 Julia 1 1 2 6 
C25 Kevin 1 1 2 5 
C26 Paul 1 1 1 3 
C27 James 1 1 1 3 
C28 Kelly 1 2 5 9 
C29 Robin 1 2 4 9 
C3 Patrick 1 2 2 5 
C30 Ralph 1 1 2 5 
C31 Gloria 1 1 1 3 
C32 Victor 1 2 4 8 
C33 David 1 2 5 12 
C34 Joyce 1 2 6 10 
C35 Donna 1 2 6 12 
C36 Michelle 1 2 5 11 
C37 Stephanie 1 1 2 5 
C38 Gerald 1 2 4 6 
C39 Walter 1 1 3 7 
C4 Lisa 1 1 1 1 
C40 Christina 1 1 3 6 
C41 Brandon 1 2 3 7 
C42 Elizabeth 1 2 4 8 
C43 Joseph 1 2 4 6 
C44 Lawrence 1 1 3 4 
C45 Marilyn 1 1 1 3 
C46 Lori 1 2 3 9 
C47 Matthew 1 2 3 4 
C48 Jesse 1 1 3 3 
C49 John 1 1 3 8 
C5 Kimberly 1 2 3 9 
C50 Martha 1 1 2 5 
C51 Timothy 1 2 5 12 
C52 Christine 1 1 2 2 
C53 Anthony 1 1 1 1 
C54 Paula 1 2 4 7 
C55 Kimberly 1 2 2 3 
C56 Louise 1 1 1 3 
C57 Martin 1 1 2 5 
C58 Paul 1 2 4 8 
C59 Antonio 1 1 2 4 
C6 Bonnie 1 1 2 6 
C60 Jacqueline 1 1 1 2 
C61 Diana 1 1 1 1 
C62 John 1 2 5 11 
C63 Dorothy 1 2 5 7 
C64 Evelyn 1 1 1 2 
C65 Phillip 1 2 4 8 
C66 Evelyn 1 2 4 11 
C67 Debra 1 1 1 3 
C68 David 1 2 5 9 
C69 Willie 1 1 1 3 
C7 Michael 1 1 1 2 
C70 Brandon 1 2 4 7 
C71 Ann 1 2 5 10 
C72 Emily 1 2 3 7 
C73 Dorothy 1 1 1 2 
C74 Jonathan 1 2 4 7 
C75 Dorothy 1 1 2 4 
C76 Marilyn 1 2 5 12 
C77 Norma 1 2 5 10 
C78 Nancy 1 2 3 7 
C79 Andrew 1 1 2 2 
C8 Todd 1 1 1 3 
C80 Keith 1 1 1 2 
C81 Benjamin 1 1 3 9 
C82 Charles 1 1 2 3 
C83 Alan 1 2 3 4 
C84 Tammy 1 1 1 3 
C85 Anna 1 2 4 8 
C86 James 1 1 3 5 
C87 Robin 1 2 3 5 
C88 Jean 1 1 2 3 
C89 Andrew 1 2 4 7 
C9 Joe 1 1 3 6 
C90 Roy 1 1 2 3 
C91 Diana 1 2 2 2 
C92 Christina 1 1 1 3 
C93 Jesse 1 1 2 2 
C94 Joyce 1 2 5 13 
C95 Patricia 1 1 3 5 
C96 Gregory 1 1 2 2 
C97 Brian 1 1 1 1 
C98 Christine 1 1 2 5 
C99 Lillian 1 1 2 6

'SQL' 카테고리의 다른 글

[HackerRank] Weather Observation Station 18(MySQL)  (0) 2024.05.18
[HackerRank] Occupations(MySQL)  (0) 2024.04.08
[HackerRank] Occupations(MySQL)  (0) 2024.04.01
[HackerRank] The PADS(MySQL)  (0) 2024.03.20

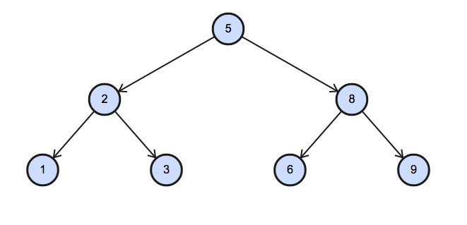
문제

"노드" || "노드의 부모"로 구성된 테이블에서

- Root: root node

- Leaf: leaf node

- inner: neither root node nor leaf node

구분하여 node 오름차순으로 정렬

 

Sample Output

1 Leaf
2 Inner
3 Leaf
5 Root
6 Leaf
8 Inner
9 Leaf

 

풀이

1. P가 null이면 root node 이다.

CASE WHEN P IS NULL THEN 'Root'

2. N 중에 P에도 값이 있는 node는 누군가의 부모이므로 leaf node가 될 수 없다. root node도 아니기에 inner node이다.

CASE WHEN N IN (SELECT DISTINCT P FROM BST) THEN 'Inner'

3. 그 외에는 전부 leaf node이다.

CASE ELSE 'Leaf'

4. 종합하여 N과 함께 출력하고 N을 기준으로 오름차순으로 정렬한다.

SELECT
    N,
    (CASE
        WHEN P IS NULL THEN 'Root'
        WHEN N IN (SELECT DISTINCT P FROM BST) THEN 'Inner'
        ELSE 'Leaf'
    END) AS position
FROM BST
ORDER BY N

 

'SQL' 카테고리의 다른 글

[HackerRank] Weather Observation Station 18(MySQL)  (0) 2024.05.18
[HackerRank] New Companies(MySQL)  (0) 2024.05.11
[HackerRank] Occupations(MySQL)  (0) 2024.04.01
[HackerRank] The PADS(MySQL)  (0) 2024.03.20

문제

"이름" || "직업"으로 구성된 테이블에서

1열: 직업이 Doctor인 사람 이름 (오름차순 정렬)

2열: 직업이 Professor인 사람 이름 (오름차순 정렬)

3열: 직업이 Singer인 사람 이름 (오름차순 정렬)

4열: 직업이 Actor인 사람 이름 (오름차순 정렬)

직업 별 이름의 최대 개수 이하인 열에서 빈 셀은 Null로 출력

 

Sample Output

Jenny    Ashley     Meera  Jane
Samantha Christeen  Priya  Julia
NULL     Ketty      NULL   Maria

 

풀이

1. 직업 별 이름들을 서브쿼리로 추출해서 JOIN

    - row_number() over(ORDER BY Name) 열 추가: 이름 오름차순 정렬 + JOIN 기준으로 하여, 빈 셀에 Null 삽입

    - JOIN 방향은 이름 개수가 가장 많은 Professor 열 기준: 다른 열 기준 시 Professor의 이름이 잘리기 때문

SELECT d.Name, p.Name, s.Name, a.Name
FROM
(SELECT Name, row_number() over(ORDER BY Name) as r
FROM OCCUPATIONS
WHERE Occupation = 'Doctor') AS d
RIGHT JOIN
(SELECT Name, row_number() over(ORDER BY Name) as r
FROM OCCUPATIONS
WHERE Occupation = 'Professor') AS p
ON d.r = p.r
LEFT JOIN
(SELECT Name, row_number() over(ORDER BY Name) as r
FROM OCCUPATIONS
WHERE Occupation = 'Singer') AS s
ON p.r = s.r
LEFT JOIN
(SELECT Name, row_number() over(ORDER BY Name) as r
FROM OCCUPATIONS
WHERE Occupation = 'Actor') AS a
ON s.r = a.r

-- 출력
Aamina Ashley Christeen Eve 
Julia Belvet Jane Jennifer 
Priya Britney Jenny Ketty 
NULL Maria Kristeen Samantha 
NULL Meera NULL NULL 
NULL Naomi NULL NULL 
NULL Priyanka NULL NULL

 

'SQL' 카테고리의 다른 글

[HackerRank] Weather Observation Station 18(MySQL)  (0) 2024.05.18
[HackerRank] New Companies(MySQL)  (0) 2024.05.11
[HackerRank] Occupations(MySQL)  (0) 2024.04.08
[HackerRank] The PADS(MySQL)  (0) 2024.03.20

문제

 

"이름" || "직업" 으로 구성된 테이블에서

1. "이름 (직업의 첫 글자)" 형태로 추출(이름 오름차순)

2. 각 직업의 수를 세서 "There are a total of 3 doctors"와 같이 출력(직업 count 오름차순, 직업명 오름차순)

 

Sample Output

Ashely(P)
Christeen(P)
Jane(A)
Jenny(D)
Julia(A)
Ketty(P)
Maria(A)
Meera(S)
Priya(S)
Samantha(D)
There are a total of 2 doctors.
There are a total of 2 singers.
There are a total of 3 actors.
There are a total of 3 professors.

 

풀이

1. "이름 (직업의 첫 글자)"를 이름 기준 오름차순으로 출력

SELECT CONCAT(Name, '(', SUBSTR(Occupation,1,1),')') 
FROM OCCUPATIONS 
ORDER BY Name;

-- 출력
Aamina(D)
Ashley(P)
Belvet(P)
Britney(P)
Christeen(S)
Eve(A)
Jane(S)
Jennifer(A)
Jenny(S)
Julia(D)
Ketty(A)
Kristeen(S)
Maria(P)
Meera(P)
Naomi(P)
Priya(D)
Priyanka(P)
Samantha(A)

 

2. 각 직업의 수를 세서 "There are a total of 3 doctors"를 직업 수 오름차순, 직업명 오름차순으로 출력

SELECT CONCAT('There are a total of ', COUNT(Occupation), ' ', LOWER(Occupation), 's.') 
FROM OCCUPATIONS
GROUP BY Occupation
ORDER BY COUNT(Occupation), Occupation;

-- 출력
There are a total of 3 doctors.
There are a total of 4 actors.
There are a total of 4 singers.
There are a total of 7 professors.

 

3. 두 쿼리를 UNION으로 결합하여 한 줄로 출력하려고 했지만 MySQL에서 UNION을 사용할 때 ORDER BY가 적용되지 않아 오류 발생

SELECT CONCAT(Name, '(', SUBSTR(Occupation,1,1),')') 
FROM OCCUPATIONS 
ORDER BY Name
UNION
SELECT CONCAT('There are a total of ', COUNT(Occupation), ' ', LOWER(Occupation), 's.') 
FROM OCCUPATIONS
GROUP BY Occupation
ORDER BY COUNT(Occupation), Occupation

-- 출력
-- ERROR 1064 (42000) at line 1: You have an error in your SQL syntax; check the manual
-- that corresponds to your MySQL server version for the right syntax to use near 'UNION
-- SELECT CONCAT('There are a total of ', COUNT(Occupation), ' ', LOWER(Occup' at line 4

 

4. 각 쿼리를 서브쿼리에 넣어 UNION 시도했지만 MySQL에서 UNION하면 ORDER BY로 한 정렬이 풀려버림

SELECT a.*
FROM (SELECT CONCAT(Name, '(', SUBSTR(Occupation,1,1),')') 
      FROM OCCUPATIONS 
      ORDER BY Name) AS a
UNION
SELECT b.*
FROM (SELECT CONCAT('There are a total of ', COUNT(Occupation), ' ', LOWER(Occupation), 's.') 
      FROM OCCUPATIONS
      GROUP BY Occupation
      ORDER BY COUNT(Occupation), Occupation) AS b

-- 출력
Ashley(P)
Samantha(A)
Julia(D)
Britney(P)
Maria(P)
Meera(P)
Priya(D)
Priyanka(P)
Jennifer(A)
Ketty(A)
Belvet(P)
Naomi(P)
Jane(S)
Jenny(S)
Kristeen(S)
Christeen(S)
Eve(A)
Aamina(D)
There are a total of 3 doctors.
There are a total of 4 actors.
There are a total of 4 singers.
There are a total of 7 professors.

 

정답

5. 두 쿼리를 UNION으로 묶지않고 ";"로 각 쿼리를 끝내 두 번 출력하는 방법으로 변경

SELECT CONCAT(Name, '(', SUBSTR(Occupation,1,1),')') 
FROM OCCUPATIONS 
ORDER BY Name;

SELECT CONCAT('There are a total of ', COUNT(Occupation), ' ', LOWER(Occupation), 's.') 
FROM OCCUPATIONS
GROUP BY Occupation
ORDER BY COUNT(Occupation), Occupation;

-- 출력
Aamina(D)
Ashley(P)
Belvet(P)
Britney(P)
Christeen(S)
Eve(A)
Jane(S)
Jennifer(A)
Jenny(S)
Julia(D)
Ketty(A)
Kristeen(S)
Maria(P)
Meera(P)
Naomi(P)
Priya(D)
Priyanka(P)
Samantha(A)
There are a total of 3 doctors.
There are a total of 4 actors.
There are a total of 4 singers.
There are a total of 7 professors.

'SQL' 카테고리의 다른 글

[HackerRank] Weather Observation Station 18(MySQL)  (0) 2024.05.18
[HackerRank] New Companies(MySQL)  (0) 2024.05.11
[HackerRank] Occupations(MySQL)  (0) 2024.04.08
[HackerRank] Occupations(MySQL)  (0) 2024.04.01

+ Recent posts