● 합성곱 신경망 구현
1. 합성곱 층(Convolution Layer)
# 이미지를 column으로 바꿔주는 함수
def im2col(input_data, filter_h, filter_w, stride = 1, pad = 0):
N, C, H, W = input_data.shape
out_h = (H + 2* pad - filter_h) // stride + 1
out_w = (W + 2* pad - filter_w) // stride + 1
img = np.pad(input_data, [(0, 0), (0, 0), (pad, pad), (pad, pad)], 'constant')
col = np.zeros((N, C, filter_h, filter_w, out_h, out_w))
for y in range(filter_h):
y_max = y + stride * out_h
for x in range(filter_w):
x_max = x + stride * out_w
col[:, :, y, x, :, :] = img[:, :, y:y_max:stride, x:x_max:stride]
# reshape 해줌으로써 flatten된 결과가 나옴
col = col.transpose(0, 4, 5, 1, 2, 3).reshape(N * out_h * out_w, -1)
return col
# column을 이미지로 바꿔주는 함수
def col2im(col, input_shape, filter_h, filter_w, stride = 1, pad = 0):
N, C, H, W = input_shape
out_h = (H + 2* pad - filter_h) // stride + 1
out_w = (W + 2* pad - filter_w) // stride + 1
col = col.reshape(N, out_h, out_w, C, filter_h, filter_w).transpose(0, 3, 4, 5, 1, 2)
img = np.zeros((N, C, H + 2 * pad + stride - 1, W + 2 * pad + stride - 1))
for y in range(filter_h):
y_max = y + stride * out_h
for x in range(filter_w):
x_max = x + stride * out_w
img[:, :, y:y_max:stride, x:x_max:stride] += col[:, :, y, x, :, :]
return img[:, :, pad:H + pad, pad:W + pad]
# 2차원 합성곱 연산 클래스
class Conv2D:
def __init__(self, W, b, stride = 1, pad = 0):
self.W = W
self.b = b
self.stride = stride
self.pad = pad
self.input_data = None
self.col = None
self.col_W = None
self.dW = None
self.db = None
def forward(self, input_data):
FN, C, FH, FW = self.W.shape
N, C, H, W = input_data.shape
out_h = (H + 2 * self.pad - FH) // self.stride + 1
out_w = (W + 2 * self.pad - FW) // self.stride + 1
col = im2col(input_data, FH, FW, self.stride, self.pad)
col_W = self.W.reshape(FN, -1).T
out = np.dot(col, col_W) + self.b
output = out.reshape(N, out_h, out_w, -1).transpose(0, 3, 1, 2)
self.input_data = input_data
self.col = col
self.col_W = col_W
return output
def backward(self, dout):
FN, C, FH, FW = self.W.shape
dout = dout.reshape(0, 2, 3, 1).reshape(-1, FN)
self.db = np.sum(dout, axis = 0)
self.dW = np.dot(self.col.T, dout)
self.dW = self.dW.transpose(1, 0).reshape(FN, C, FH, FW)
dcol = np.dot(dout, self.col_W.T)
dx = col2im(dcol, self.input_data.shape, FH, FW, self.stride, self.pad)
return dx
- 컨볼루션 레이어 테스트
def init_weight(num_filters, data_dim, kernel_size, stride = 1, pad = 0, weight_std = 0.01):
weights = weight_std * np.random.randn(num_filters, data_dim, kernel_size, kernel_size)
biases = np.zeros(num_filters)
return weights, biases
# 기본 이미지 출력
img_url = "https://upload.wikimedia.org/wikipedia/ko/thumb/2/24/Lenna.png/440px-Lenna.png"
image_gray = url_to_image(img_url, gray = True)
image_gray = image_gray.reshape(image_gray.shape[0], -1, 1)
print("image.shape:", image_gray.shape)
image_gray = np.expand_dims(image_gray.transpose(2, 0, 1), axis = 0)
plt.imshow(image_gray[0, 0, :, :], cmap = 'gray')
plt.show()

# 가중치와 편향주어 합성곱 연산 (1)
W, b = init_weight(1, 1, 3)
conv = Conv2D(W, b)
output = conv.forward(image_gray)
print("Conv Layer size:", output.shape)
# 출력 결과
Conv Layer size: (1, 1, 438, 438)
plt.imshow(output[0, 0, :, :], cmap = 'gray')
plt.show()

# 가중치와 편향주어 합성곱 연산 (2)
W2, b2 = init_weight(1, 1, 3, stride = 2)
conv2 = Conv2D(W2, b2, stride = 2)
output2 = conv2.forward(image_gray)
print("Conv Layer size:", output2.shape)
# 출력 결과
Conv Layer size: (1, 1, 219, 219)
plt.imshow(output2[0, 0, :, :], cmap = 'gray')
plt.show()

# 컬러 이미지로 출력
img_url = "https://upload.wikimedia.org/wikipedia/ko/thumb/2/24/Lenna.png/440px-Lenna.png"
image_color = url_to_image(img_url)
print("image.shape:", image_color.shape)
plt.imshow(image_color)
plt.show()
image_color = np.expand_dims(image_color.transpose(2, 0, 1), axis = 0)
print("image.shape:", image_color.shape)

# 가중치와 편향주어 합성곱 연산 (3)
W3, b3 = init_weight(10, 3, 3)
conv3 = Conv2D(W3, b3)
output3 = conv3.forward(image_color)
print("Conv Layer size:", output3.shape)
# 출력 결과
Conv Layer size: (1, 10, 438, 438)
plt.imshow(output3[0, 3, :, :], cmap = "gray")
plt.show()
plt.imshow(output3[0, 8, :, :], cmap = "gray")
plt.show()


- 동일한 이미지 여러 장 테스트(배치 처리)
img_url = "https://upload.wikimedia.org/wikipedia/ko/thumb/2/24/Lenna.png/440px-Lenna.png"
image_gray = url_to_image(img_url, gray = True)
image_gray = image_gray.reshape(image_gray.shape[0], -1, 1)
print("image.shape:", image_gray.shape)
image_gray = image_gray.transpose(2, 0, 1)
print("image_gray.shape", image_gray.shape)
# 출력 결과
image.shape: (440, 440, 1)
image_gray.shape (1, 440, 440)
batch_image_gray = np.repeat(image_gray[np.newaxis, :, :, :], 15, axis = 0)
print(batch_image_gray.shape)
# 출력 결과
(15, 1, 440, 440)
W4, b4 = init_weight(10, 1, 3, stride = 2)
conv4 = Conv2D(W4, b4)
output4 = conv4.forward(batch_image_gray)
print("Conv Layer size:", output4.shape)
# 출력 결과
Conv Layer size: (15, 10, 438, 438)
plt.figure(figsize = (10, 10))
plt.subplot(1, 3, 1)
plt.title("Filter 3")
plt.imshow(output4[3, 2, :, :], cmap = 'gray')
plt.subplot(1, 3, 2)
plt.title("Filter 6")
plt.imshow(output4[3, 5, :, :], cmap = 'gray')
plt.subplot(1, 3, 3)
plt.title("Filter 10")
plt.imshow(output4[3, 9, :, :], cmap = 'gray')
plt.show()

# color 이미지에 대해
W5, b5 = init_weight(32, 3, 3, stride = 3)
conv5 = Conv2D(W5, b5, stride = 3)
output5 = conv5.forward(image_color)
print("Conv Layer size:", output5.shape)
# 출력 결과
Conv Layer size: (1, 32, 146, 146)
plt.figure(figsize = (10, 10))
plt.subplot(1, 3, 1)
plt.title("Filter 21")
plt.imshow(output5[0, 20, :, :], cmap = 'gray')
plt.subplot(1, 3, 2)
plt.title("Filter 15")
plt.imshow(output5[0, 14, :, :], cmap = 'gray')
plt.subplot(1, 3, 3)
plt.title("Filter 11")
plt.imshow(output5[0, 10, :, :], cmap = 'gray')
plt.show()

- 동일한 이미지 배치 처리(color)
img_url = "https://upload.wikimedia.org/wikipedia/ko/thumb/2/24/Lenna.png/440px-Lenna.png"
image_color = url_to_image(img_url)
print("image.shape:", image_color.shape)
image_color = image_color.transpose(2, 0, 1)
print("image.shape:", image_color.shape)
# 출력 결과
image.shape: (440, 440, 3)
image.shape: (3, 440, 440)
batch_image_color = np.repeat(image_color[np.newaxis, :, :, :], 15, axis = 0)
print(batch_image_color.shape)
# 출력 결과
(15, 3, 440, 440)
W6, b6 = init_weight(64, 3, 5)
conv6 = Conv2D(W6, b6)
output6 = conv6.forward(batch_image_color)
print("Conv Layer size:", output6.shape)
# 출력 결과
Conv Layer size: (15, 64, 436, 436)
plt.figure(figsize = (10, 10))
plt.subplot(1, 3, 1)
plt.title("Filter 50")
plt.imshow(output6[10, 49, :, :], cmap = 'gray')
plt.subplot(1, 3, 2)
plt.title("Filter 31")
plt.imshow(output6[10, 30, :, :], cmap = 'gray')
plt.subplot(1, 3, 3)
plt.title("Filter 1")
plt.imshow(output6[10, 0, :, :], cmap = 'gray')
plt.show()

2. 풀링 층(Pooling Layer)
class Pooling2D:
def __init__(self, kernel_size = 2, stride = 1, pad = 0):
self.kernel_size = kernel_size
self.stride = stride
self.pad = pad
self.input_data = None
self.arg_max = None
def forward(self, input_data):
N, C, H, W = input_data.shape
out_h = (H - self.kernel_size) // self.stride + 1
out_w = (W - self.kernel_size) // self.stride + 1
col = im2col(input_data, self.kernel_size, self.kernel_size, self.stride, self.pad)
col = col.reshape(-1, self.kernel_size * self.kernel_size)
arg_max = np.argmax(col, axis = 1)
out = np.max(col, axis = 1)
output = out.reshape(N, out_h, out_w, C).transpose(0, 3, 1, 2)
self.input_data = input_data
self.arg_max = arg_max
return output
def backward(self, dout):
dout = dout.transpose(0, 2, 3, 1)
pool_size = self.kernel_size * self.kernel_size
dmax = np.zeros((dout.size, pool_size))
dmax[np.arange(self.arg_max.size), self.arg_max.flatten()] = dout.flatten()
dmax = dmax.reshape(dout.shape + (pool_size,))
dcol = dmax.reshape(dmax.shape[0] * dmax.shape[1] * dmax.shape[2], -1)
dx = col2im(dcol, self.input_data.shape, self.kernel_size, self.kernel_size, self.stride, self.pad)
return dx
- 풀링 레이어 테스트
- 2차원 이미지
- (Height, Width, 1)
img_url = "https://upload.wikimedia.org/wikipedia/ko/thumb/2/24/Lenna.png/440px-Lenna.png"
image_gray = url_to_image(img_url, gray = True)
image_gray = image_gray.reshape(image_gray.shape[0], -1, 1)
print("image.shape:", image_gray.shape)
# 출력 결과
image.shape: (440, 440, 1)
image_gray = np.expand_dims(image_gray.transpose(2, 0, 1), axis = 0)
plt.imshow(image_gray[0, 0, :, :], cmap = "gray")
plt.show()

W, b = init_weight(8, 1, 3)
conv = Conv2D(W, b)
pool = Pooling2D(stride = 2, kernel_size = 2)
output1 = conv.forward(image_gray)
print("Conv size:", output1.shape)
output1 = pool.forward(output1)
print("Pooling Layer size:", output1.shape)
# 출력 결과
Conv size: (1, 8, 438, 438)
Pooling Layer size: (1, 8, 219, 219)
# Max Pooling을 거친 결과를 시각화
plt.figure(figsize = (10, 10))
plt.subplot(1, 3, 1)
plt.title("Feature Map 8")
plt.imshow(output1[0, 7, :, :], cmap = 'gray')
plt.subplot(1, 3, 2)
plt.title("Feature Map 4")
plt.imshow(output1[0, 3, :, :], cmap = 'gray')
plt.subplot(1, 3, 3)
plt.title("Feature Map 1")
plt.imshow(output1[0, 0, :, :], cmap = 'gray')
plt.show()

# 예시 2(가중치 W와 편향 b를 바꿔서)
W2, b2 = init_weight(32, 1, 3, stride = 2)
conv2 = Conv2D(W2, b2)
pool = Pooling2D(stride = 2, kernel_size = 2)
output2 = conv2.forward(image_gray)
print("Conv size:", output1.shape)
output2 = pool.forward(output2)
print("Pooling Layer size:", output2.shape)
# 출력 결과
Conv size: (1, 8, 219, 219)
Pooling Layer size: (1, 32, 219, 219)
# 시각화
plt.figure(figsize = (10, 10))
plt.subplot(1, 3, 1)
plt.title("Feature Map 8")
plt.imshow(output2[0, 7, :, :], cmap = 'gray')
plt.subplot(1, 3, 2)
plt.title("Feature Map 4")
plt.imshow(output2[0, 3, :, :], cmap = 'gray')
plt.subplot(1, 3, 3)
plt.title("Feature Map 1")
plt.imshow(output2[0, 0, :, :], cmap = 'gray')
plt.show()

- 동일한 이미지 배치 처리
- Color Image
- conv → maxpooling → conv → maxpooling
- 시각화 과정
- 5번째 이미지
- [2, 5, 9] 필터를 통해 확인
img_url = "https://upload.wikimedia.org/wikipedia/ko/thumb/2/24/Lenna.png/440px-Lenna.png"
image_color = url_to_image(img_url)
print("image.shape:", image_color.shape)
# 출력 결과
image.shape: (440, 440, 3)
plt.imshow(image_color)
plt.show()
image_color = image_color.transpose(2, 0, 1)
print("image.shape:", image_color.shape)
# 출력 결과
image.shape: (3, 440, 440)

# 15개의 배치로 만들어주기
batch_image_color = np.repeat(image_color[np.newaxis, :, :, :], 15, axis = 0)
print(batch_image_color.shape)
# 출력 결과
(15, 3, 440, 440)
W, b = init_weight(10, 3, 3)
conv1 = Conv2D(W, b)
pool = Pooling2D(stride = 2, kernel_size = 2)
# 합성곱 연산만한 결과
output1 = conv1.forward(batch_image_color)
print(output1.shape)
# 출력 결과
(15, 10, 438, 438)
# 합성곱 연산만한 결과 시각화
plt.figure(figsize = (10, 10))
plt.subplot(1, 3, 1)
plt.title("Feature Map 2")
plt.imshow(output1[4, 1, :, :], cmap = 'gray')
plt.subplot(1, 3, 2)
plt.title("Feature Map 5")
plt.imshow(output1[4, 4, :, :], cmap = 'gray')
plt.subplot(1, 3, 3)
plt.title("Feature Map 9")
plt.imshow(output1[4, 8, :, :], cmap = 'gray')
plt.show()

# Pooling까지 한 결과
output1 = pool.forward(output1)
print(output1.shape)
# 출력 결과
(15, 10, 219, 219)
# Pooling까지 한 결과 시각화
plt.figure(figsize = (10, 10))
plt.subplot(1, 3, 1)
plt.title("Feature Map 2")
plt.imshow(output1[4, 1, :, :], cmap = 'gray')
plt.subplot(1, 3, 2)
plt.title("Feature Map 5")
plt.imshow(output1[4, 4, :, :], cmap = 'gray')
plt.subplot(1, 3, 3)
plt.title("Feature Map 9")
plt.imshow(output1[4, 8, :, :], cmap = 'gray')
plt.show()

# 예시 2, 가중치 변경
W2, b2 = init_weight(30, 10, 3)
conv2 = Conv2D(W2, b2)
pool = Pooling2D(stride = 2, kernel_size = 2)
# 합성곱 연산만 한 결과
output2 = conv2.forward(output1)
print(output2.shape)
# 출력 결과
(15, 30, 217, 217)
# 합성곱 연산만한 결과 시각화
plt.figure(figsize = (10, 10))
plt.subplot(1, 3, 1)
plt.title("Feature Map 2")
plt.imshow(output2[4, 1, :, :], cmap = 'gray')
plt.subplot(1, 3, 2)
plt.title("Feature Map 5")
plt.imshow(output2[4, 4, :, :], cmap = 'gray')
plt.subplot(1, 3, 3)
plt.title("Feature Map 9")
plt.imshow(output2[4, 8, :, :], cmap = 'gray')
plt.show()

# Pooling까지 한 결과
output2 = pool.forward(output2)
print(output2.shape)
# 출력 결과
(15, 30, 108, 108)
# Pooling까지 한 결과 시각화
plt.figure(figsize = (10, 10))
plt.subplot(1, 3, 1)
plt.title("Feature Map 2")
plt.imshow(output2[4, 1, :, :], cmap = 'gray')
plt.subplot(1, 3, 2)
plt.title("Feature Map 5")
plt.imshow(output2[4, 4, :, :], cmap = 'gray')
plt.subplot(1, 3, 3)
plt.title("Feature Map 9")
plt.imshow(output2[4, 8, :, :], cmap = 'gray')
plt.show()

3. 대표적인 CNN 모델 소개
- LeNet - 5

- AlexNet
- 활성화 함수로 ReLU 사용
- 국소적 정규화(Local Response Normalization, LRN) 실시하는 계층 사용
- 드롭아웃

- VGG - 16
- 모든 컨볼루션 레이어에서의 필터(커널) 사이즈를 3×3으로 설정
- 2×2 MaxPooling
- 필터의 개수는 Conv Block을 지나가면서 2배씩 증가
32 → 64 → 128

4. CNN 학습 구현 - MNIST
- modules import
import tensorflow as tf
import numpy as np
import matplotlib.pyplot as plt
from collections import OrderedDict
- Util Functions
def im2col(input_data, filter_h, filter_w, stride = 1, pad = 0):
N, C, H, W = input_data.shape
out_h = (H + 2* pad - filter_h) // stride + 1
out_w = (W + 2* pad - filter_w) // stride + 1
img = np.pad(input_data, [(0, 0), (0, 0), (pad, pad), (pad, pad)], 'constant')
col = np.zeros((N, C, filter_h, filter_w, out_h, out_w))
for y in range(filter_h):
y_max = y + stride * out_h
for x in range(filter_w):
x_max = x + stride * out_w
col[:, :, y, x, :, :] = img[:, :, y:y_max:stride, x:x_max:stride]
# reshape 해줌으로써 flatten된 결과가 나옴
col = col.transpose(0, 4, 5, 1, 2, 3).reshape(N * out_h * out_w, -1)
return col
def col2im(col, input_shape, filter_h, filter_w, stride = 1, pad = 0):
N, C, H, W = input_shape
out_h = (H + 2* pad - filter_h) // stride + 1
out_w = (W + 2* pad - filter_w) // stride + 1
col = col.reshape(N, out_h, out_w, C, filter_h, filter_w).transpose(0, 3, 4, 5, 1, 2)
img = np.zeros((N, C, H + 2 * pad + stride - 1, W + 2 * pad + stride - 1))
for y in range(filter_h):
y_max = y + stride * out_h
for x in range(filter_w):
x_max = x + stride * out_w
img[:, :, y:y_max:stride, x:x_max:stride] += col[:, :, y, x, :, :]
return img[:, :, pad:H + pad, pad:W + pad]
def softmax(x):
if x.ndim == 2:
x = x.T
x = x - np.max(x, axis = 0)
y = np.exp(x) / np.sum(np.exp(x), axis = 0)
return y.T
x = x - np.max(x)
return np.exp(x) / np.sum(np.exp(x))
def mean_squared_error(pred_y, true_y):
return 0.5 * np.sum((pred_y - true_y)**2)
def cross_entropy_error(pred_y, true_y):
if pred_y.ndim == 1:
true_y = true_y.reshape(1, true_y.size)
pred_y = pred_y.reshape(1, pred_y.size)
if true_y.size == pred_y.size:
true_y = true_y.argmax(axis = 1)
batch_size = pred_y.shape[0]
return -np.sum(np.log(pred_y[np.arange(batch_size), true_y] + 1e-7)) / batch_size
def softmax_loss(X, true_y):
pred_y = softmax(X)
return cross_entropy_error(pred_y, true_y)
- Util Classes
class ReLU:
def __init__(self):
self.mask = None
def forward(self, x):
self.mask = (x <= 0)
out = x.copy()
out[self.mask] = 0
return out
def backward(self, dout):
dout[self.mask] = 0
dx = dout
return dx
class Sigmoid:
def __init__(self):
self.out = None
def forward(self, x):
out = sigmoid(x)
self.out = out
return out
def backward(self, dout):
dx = dout * (1.0 - self.out) * self.out
return dx
class Layer:
def __init__(self, W, b):
self.W = W
self.b = b
self.input_data = None
self.input_data_shape = None
self.dW = None
self.db = None
def forward(self, input_data):
self.input_data_shape = input_data.shape
input_data = input_data.reshape(input_data.shape[0], -1)
self.input_data = input_data
out = np.dot(self.input_data, self.W) + self.b
return out
def backward(self, dout):
dx = np.dot(dout, self.W.T)
self.dW = np.dot(self.input_data.T, dout)
self.db = np.sum(dout,axis = 0)
dx = dx.reshape(*self.input_data_shape)
return dx
class Softmax:
def __init__(self):
self.loss = None
self.y = None
self.t = None
def forward(self, x, t):
self.t = t
self.y = softmax(x)
self.loss = cross_entropy_error(self.y, self.t)
return self.loss
def backward(self, dout = 1):
batch_size = self.t.shape[0]
if self.t.size == self.y.size:
dx = (self.y - self.t) / batch_size
else:
dx = self.y.copy()
dx[np.arange(batch_size), self.t] -= 1
dx = dx /batch_size
return dx
class SGD:
def __init__(self, learning_rate = 0.01):
self.learning_rate = learning_rate
def update(self, params, grads):
for key in params.keys():
params[key] -= self.learning_rate * grads[key]
- 데이터 로드
np.random.seed(42)
mnist = tf.keras.datasets.mnist
(x_train, t_train), (x_test, t_test) = mnist.load_data()
num_classes = 10
print(x_train.shape)
print(t_train.shape)
print(x_test.shape)
print(t_test.shape)
# 출력 결과
(60000, 28, 28)
(60000,)
(10000, 28, 28)
(10000,)
# 차원 늘이기
x_train, x_test = np.expand_dims(x_train, axis = 1), np.expand_dims(x_test, axis = 1)
print(x_train.shape)
print(t_train.shape)
print(x_test.shape)
print(t_test.shape)
# 출력 결과
(60000, 1, 28, 28)
(60000,)
(10000, 1, 28, 28)
(10000,)
# 데이터 수 줄이기
x_train = x_train[:3000]
x_test = x_test[:500]
t_train = t_train[:3000]
t_test = t_test[:500]
print(x_train.shape)
print(t_train.shape)
print(x_test.shape)
print(t_test.shape)
# 출력 결과
(3000, 1, 28, 28)
(3000,)
(500, 1, 28, 28)
(500,)
- Build Model
class MyModel:
def __init__(self, input_dim = (1, 28, 28), num_outputs = 10):
conv1_block = {'num_filters': 30,
'kernel_size': 3,
'stride': 1,
'pad': 0}
input_size = input_dim[1]
conv_output_size = ((input_size - conv1_block['kernel_size'] + 2 * conv1_block['pad']) // conv1_block['stride']) + 1
pool_output_size = int(conv1_block['num_filters'] * (conv_output_size / 2) * (conv_output_size / 2))
self.params = {}
self.params['W1'], self.params['b1'] = self.__init_weight_conv(conv1_block['num_filters'], input_dim[0], 3)
self.params['W2'], self.params['b2'] = self.__init_weight_fc(pool_output_size, 256)
self.params['W3'], self.params['b3'] = self.__init_weight_fc(256, 10)
self.layers = OrderedDict()
self.layers['Conv1'] = Conv2D(self.params['W1'], self.params['b1'])
self.layers['ReLU1'] = ReLU()
self.layers['Pool1'] = Pooling2D(kernel_size = 2, stride = 2)
self.layers['FC1'] = Layer(self.params['W2'], self.params['b2'])
self.layers['ReLU'] = ReLU()
self.layers['FC2'] = Layer(self.params['W3'], self.params['b3'])
self.last_layer = Softmax()
def __init_weight_conv(self, num_filters, data_dim, kernel_size, stride = 1, pad = 0, weight_std = 0.01):
weights = weight_std * np.random.randn(num_filters, data_dim, kernel_size, kernel_size)
biases = np.zeros(num_filters)
return weights, biases
def __init_weight_fc(self, num_inputs, num_outputs, weight_std = 0.01):
weights = weight_std * np.random.randn(num_inputs, num_outputs)
biases = np.zeros(num_outputs)
return weights, biases
def forward(self, x):
for layer in self.layers.values():
x = layer.forward(x)
return x
def loss(self, x, true_y):
pred_y = self.forward(x)
# last layer인 softmax 결과를 반환
return self.last_layer.forward(pred_y, true_y)
def accuracy(self, x, true_y, batch_size = 100):
if true_y.ndim != 1:
true_y = np.argmax(true_y, axis = 1)
accuracy = 0.0
for i in range(int(x.shape[0] / batch_size)):
tx = x[i*batch_size:(i+1)*batch_size]
tt = true_y[i*batch_size:(i+1)*batch_size]
y = self.forward(tx)
y = np.argmax(y, axis = 1)
accuracy += np.sum(y == tt)
return accuracy / x.shape[0]
def gradient(self, x, true_y):
self.loss(x, true_y)
dout = 1
dout = self.last_layer.backward(dout)
layers = list(self.layers.values())
layers.reverse()
for layer in layers:
dout = layer.backward(dout)
grads = {}
grads['W1'], grads['b1'] = self.layers['Conv1'].dW, self.layers['Conv1'].db
grads['W2'], grads['b2'] = self.layers['FC1'].dW, self.layers['FC1'].db
grads['W3'], grads['b3'] = self.layers['FC2'].dW, self.layers['FC2'].db
return grads
- Hyper Parameters
epochs = 10
train_size = x_train.shape[0]
batch_size = 200
learning_rate = 0.001
current_iter = 0
iter_per_epoch = max(train_size // batch_size, 1)
- 모델 생성 및 학습
train_loss_list = []
train_acc_list = []
test_acc_list = []
model = MyModel()
# Key가 잘 생성되었는지 확인
model.params.keys()
# 출력 결과
dict_keys(['W1', 'b1', 'W2', 'b2', 'W3', 'b3'])
optimizer = SGD(learning_rate)
for epoch in range(epochs):
for i in range(iter_per_epoch):
batch_mask = np.random.choice(train_size, batch_size)
x_batch = x_train[batch_mask]
t_batch = t_train[batch_mask]
grads = model.gradient(x_batch, t_batch)
optimizer.update(model.params, grads)
loss = model.loss(x_batch, t_batch)
train_loss_list.append(loss)
x_train_sample, t_train_sample = x_train, t_train
x_test_sample, t_test_sample = x_test, t_test
train_acc = model.accuracy(x_train_sample, t_train_sample)
test_acc = model.accuracy(x_test_sample, t_test_sample)
train_acc_list.append(train_acc)
test_acc_list.append(test_acc)
current_iter += 1
print("Epoch: {} Train Loss: {:.4f} Train Accuracy: {:.4f} Test Accuracy: {:.4f}".format(epoch + 1, loss, train_acc, test_acc))
# 출력 결과
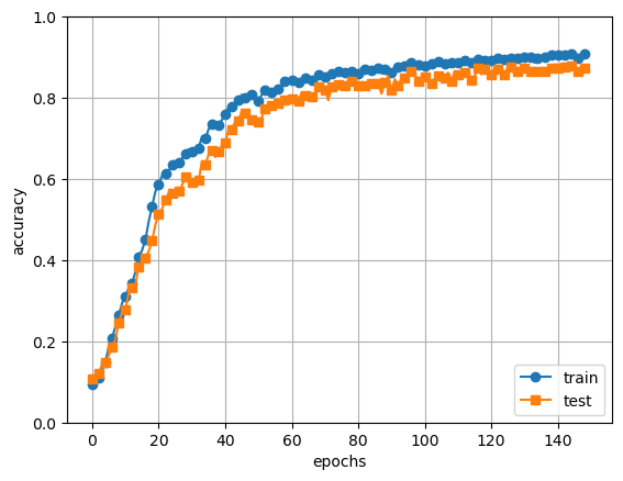
Epoch: 1 Train Loss: 2.1136 Train Accuracy: 0.4087 Test Accuracy: 0.3840
Epoch: 2 Train Loss: 1.5925 Train Accuracy: 0.6733 Test Accuracy: 0.5940
Epoch: 3 Train Loss: 0.9603 Train Accuracy: 0.7960 Test Accuracy: 0.7440
Epoch: 4 Train Loss: 0.5676 Train Accuracy: 0.8377 Test Accuracy: 0.7980
Epoch: 5 Train Loss: 0.4902 Train Accuracy: 0.8647 Test Accuracy: 0.8320
Epoch: 6 Train Loss: 0.4181 Train Accuracy: 0.8763 Test Accuracy: 0.8540
Epoch: 7 Train Loss: 0.3899 Train Accuracy: 0.8900 Test Accuracy: 0.8540
Epoch: 8 Train Loss: 0.3067 Train Accuracy: 0.8977 Test Accuracy: 0.8720
Epoch: 9 Train Loss: 0.3158 Train Accuracy: 0.8970 Test Accuracy: 0.8640
Epoch: 10 Train Loss: 0.2742 Train Accuracy: 0.9023 Test Accuracy: 0.8760
# 정확도 시각화
markers = {'train': 'o', 'test': 's'}
x = np.arange(current_iter)
plt.plot(x, train_acc_list, marker = 'o', label = 'train', markevery = 2)
plt.plot(x, test_acc_list, marker = 's', label = 'test', markevery = 2)
plt.grid()
plt.xlabel('epochs')
plt.ylabel('accuracy')
plt.ylim(0, 1.0)
plt.legend(loc = 'lower right')
plt.show()
# 손실함수 시각화
x = np.arange(current_iter)
plt.plot(x, train_loss_list, marker = '^', label = 'train_loss', markevery = 2)
plt.grid()
plt.xlabel('epochs')
plt.ylabel('cost')
plt.ylim(0, 2.4)
plt.legend(loc = 'right')
plt.show()


- 생각보다 학습이 잘 되지 않은 이유
- 학습 데이의 수 부족
- 학습 시간 고려
- FC Layer의 노드 수가 적절했는지
- 학습률(learning rate)값이 적절했는지
- ...
- 어떠한 조건에서 가장 좋은 결과를 내는지는 값을 적절히 바면서 시도해보아야
'Python > Deep Learning' 카테고리의 다른 글
| [딥러닝 기초] RNN(순환신경망) (0) | 2023.03.27 |
|---|---|
| [딥러닝 기초] 자연어 처리 (0) | 2023.03.27 |
| [딥러닝 기초] CNN(합성곱 신경망)(1) (0) | 2023.03.23 |
| [딥러닝 기초] 딥러닝 학습 기술 (2) (0) | 2023.03.22 |
| [딥러닝 기초] 딥러닝 학습 기술 (1) (0) | 2023.03.21 |