1. modules import
%load_ext tensorboard
import datetime
import numpy as np
import tensorflow as tf
import matplotlib.pyplot as plt
from tensorflow.keras import Model
from tensorflow.keras.models import Sequential
from tensorflow.keras.utils import to_categorical
from tensorflow.keras.datasets.fashion_mnist import load_data
from tensorflow.keras.preprocessing.image import ImageDataGenerator
from tensorflow.keras.layers import Dense, Conv2D, MaxPool2D, Dropout, Input, Flatten
2. 데이터 로드 및 전처리
(x_train, y_train), (x_test, y_test) = load_data()
x_train = x_train[..., np.newaxis]
x_test = x_test[..., np.newaxis]
x_train = x_train / 255.
x_test = x_test / 255.
print(x_train.shape)
print(y_train.shape)
print(x_test.shape)
print(y_test.shape)
# 출력 결과
(60000, 28, 28, 1)
(60000,)
(10000, 28, 28, 1)
(10000,)
class_names = ['T-shirt/top', 'Trouser', 'Pullover', 'Dress', 'Coat',
'Sandal', 'Shirt', 'Sneaker', 'Bag', 'Ankle boot']
3. 모델 구성 및 컴파일
def build_model():
model = Sequential()
input = Input(shape = (28, 28, 1))
output = Conv2D(filters = 32, kernel_size = (3, 3))(input)
output = Conv2D(filters = 64, kernel_size = (3, 3))(output)
output = Conv2D(filters = 64, kernel_size = (3, 3))(output)
output = Flatten()(output)
output = Dense(units = 128, activation = 'relu')(output)
output = Dense(units = 64, activation = 'relu')(output)
output = Dense(units = 10, activation = 'softmax')(output)
model = Model(inputs = [input], outputs = [output])
model.compile(optimizer = 'adam',
loss = 'sparse_categorical_crossentropy',
metrics = ['acc'])
return model
model_1 = build_model()
model_1.summary()
# 출력 결과
Model: "model"
_________________________________________________________________
Layer (type) Output Shape Param #
=================================================================
input_1 (InputLayer) [(None, 28, 28, 1)] 0
conv2d (Conv2D) (None, 26, 26, 32) 320
conv2d_1 (Conv2D) (None, 24, 24, 64) 18496
conv2d_2 (Conv2D) (None, 22, 22, 64) 36928
flatten (Flatten) (None, 30976) 0
dense (Dense) (None, 128) 3965056
dense_1 (Dense) (None, 64) 8256
dense_2 (Dense) (None, 10) 650
=================================================================
Total params: 4,029,706
Trainable params: 4,029,706
Non-trainable params: 0
_________________________________________________________________
4. 모델 학습
hist_1 = model_1.fit(x_train, y_train,
epochs = 25,
validation_split = 0.3,
batch_size = 128)

5. 학습 결과 시각화
plt.figure(figsize = (12, 4))
plt.subplot(1, 2, 1)
plt.plot(hist_1.history['loss'], 'b--', label = 'loss')
plt.plot(hist_1.history['val_loss'], 'r:', label = 'val_loss')
plt.xlabel('Epochs')
plt.grid()
plt.legend()
plt.subplot(1, 2, 2)
plt.plot(hist_1.history['acc'], 'b--', label = 'accuracy')
plt.plot(hist_1.history['val_acc'], 'r:', label = 'val_accuracy')
plt.xlabel('Epochs')
plt.grid()
plt.legend()

6. 모델 평가
model_1.evaluate(x_test, y_test)
# 출력 결과
loss: 1.1168 - acc: 0.8566
[1.116817831993103, 0.8565999865531921]
7. 모델 재구성(학습 파라미터 수 비교)
def build_model_2():
model = Sequential()
input = Input(shape = (28, 28, 1))
output = Conv2D(filters = 32, kernel_size = (3, 3))(input)
output = MaxPool2D(strides = (2, 2))(output)
output = Conv2D(filters = 64, kernel_size = (3, 3))(output)
output = MaxPool2D(strides = (2, 2))(output)
output = Conv2D(filters = 64, kernel_size = (3, 3))(output)
output = MaxPool2D(strides = (2, 2))(output)
output = Flatten()(output)
output = Dense(units = 128, activation = 'relu')(output)
output = Dropout(0.3)(output)
output = Dense(units = 64, activation = 'relu')(output)
output = Dropout(0.3)(output)
output = Dense(units = 10, activation = 'softmax')(output)
model = Model(inputs = [input], outputs = [output])
model.compile(optimizer = 'adam',
loss = 'sparse_categorical_crossentropy',
metrics = ['acc'])
return model
model_2 = build_model_2()
model_2.summary()
# 출력 결과
Model: "model_2"
_________________________________________________________________
Layer (type) Output Shape Param #
=================================================================
input_3 (InputLayer) [(None, 28, 28, 1)] 0
conv2d_6 (Conv2D) (None, 26, 26, 32) 320
max_pooling2d (MaxPooling2D (None, 13, 13, 32) 0
)
conv2d_7 (Conv2D) (None, 11, 11, 64) 18496
max_pooling2d_1 (MaxPooling (None, 5, 5, 64) 0
2D)
conv2d_8 (Conv2D) (None, 3, 3, 64) 36928
max_pooling2d_2 (MaxPooling (None, 1, 1, 64) 0
2D)
flatten_2 (Flatten) (None, 64) 0
dense_6 (Dense) (None, 128) 8320
dropout (Dropout) (None, 128) 0
dense_7 (Dense) (None, 64) 8256
dropout_1 (Dropout) (None, 64) 0
dense_8 (Dense) (None, 10) 650
=================================================================
Total params: 72,970
Trainable params: 72,970
Non-trainable params: 0
_________________________________________________________________
- 학습 파라미터 수가 줄어듦
8. 모델 재학습
hist_2 = model_2.fit(x_train, y_train,
epochs = 25,
validation_split = 0.3,
batch_size = 128)

# 재학습 결과 시각화
plt.figure(figsize = (12, 4))
plt.subplot(1, 2, 1)
plt.plot(hist_2.history['loss'], 'b--', label = 'loss')
plt.plot(hist_2.history['val_loss'], 'r:', label = 'val_loss')
plt.xlabel('Epochs')
plt.grid()
plt.legend()
plt.subplot(1, 2, 2)
plt.plot(hist_2.history['acc'], 'b--', label = 'accuracy')
plt.plot(hist_2.history['val_acc'], 'r:', label = 'val_accuracy')
plt.xlabel('Epochs')
plt.grid()
plt.legend()

- 처음 모델보다 학습데이터에 오버피팅이 덜 된 모습
9. 모델 재평가
model_2.evaluate(x_test, y_test)
# 출력 결과
loss: 0.4026 - acc: 0.8830
[0.4026452302932739, 0.8830000162124634]
10. 모델 성능 높이기(많은 레이어 쌓기)
from tensorflow.keras.layers import BatchNormalization, ReLU
def build_model_3():
model = Sequential()
input = Input(shape = (28, 28, 1))
output = Conv2D(filters = 32, kernel_size = 3, activation = 'relu', padding = 'same')(input)
output = Conv2D(filters = 64, kernel_size = 3, activation = 'relu', padding = 'valid')(output)
output = MaxPool2D(strides = (2, 2))(output)
output = Dropout(0.5)(output)
output = Conv2D(filters = 128, kernel_size = 3, activation = 'relu', padding = 'same')(output)
output = Conv2D(filters = 256, kernel_size = 3, activation = 'relu', padding = 'valid')(output)
output = MaxPool2D(strides = (2, 2))(output)
output = Dropout(0.5)(output)
output = Flatten()(output)
output = Dense(units = 256, activation = 'relu')(output)
output = Dropout(0.5)(output)
output = Dense(units = 100, activation = 'relu')(output)
output = Dropout(0.5)(output)
output = Dense(units = 10, activation = 'softmax')(output)
model = Model(inputs = [input], outputs = [output])
model.compile(optimizer = 'adam',
loss = 'sparse_categorical_crossentropy',
metrics = ['acc'])
return model
model_3 = build_model_3()
model_3.summary()
# 출력 결과
Model: "model_3"
_________________________________________________________________
Layer (type) Output Shape Param #
=================================================================
input_4 (InputLayer) [(None, 28, 28, 1)] 0
conv2d_9 (Conv2D) (None, 28, 28, 32) 320
conv2d_10 (Conv2D) (None, 26, 26, 64) 18496
max_pooling2d_3 (MaxPooling (None, 13, 13, 64) 0
2D)
dropout_2 (Dropout) (None, 13, 13, 64) 0
conv2d_11 (Conv2D) (None, 13, 13, 128) 73856
conv2d_12 (Conv2D) (None, 11, 11, 256) 295168
max_pooling2d_4 (MaxPooling (None, 5, 5, 256) 0
2D)
dropout_3 (Dropout) (None, 5, 5, 256) 0
flatten_3 (Flatten) (None, 6400) 0
dense_9 (Dense) (None, 256) 1638656
dropout_4 (Dropout) (None, 256) 0
dense_10 (Dense) (None, 100) 25700
dropout_5 (Dropout) (None, 100) 0
dense_11 (Dense) (None, 10) 1010
=================================================================
Total params: 2,053,206
Trainable params: 2,053,206
Non-trainable params: 0
_________________________________________________________________
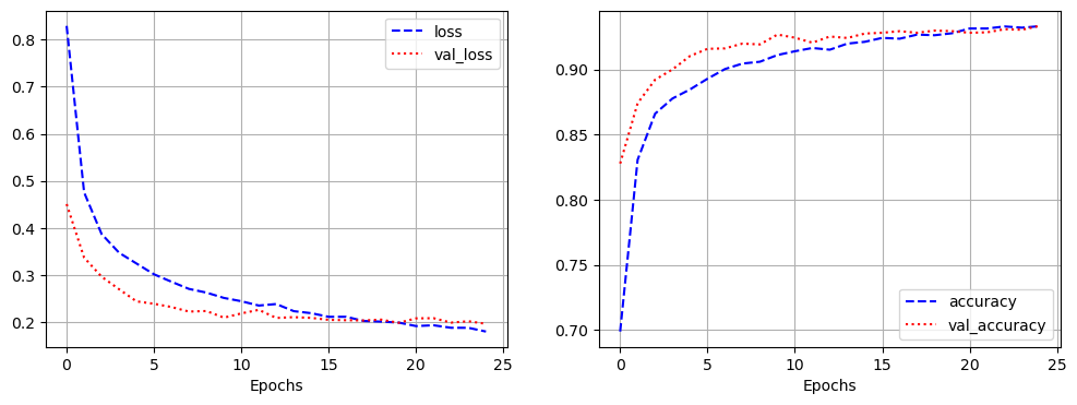
- 모델 학습 및 결과 시각화
hist_3 = model_3.fit(x_train, y_train,
epochs = 25,
validation_split = 0.3,
batch_size = 128)

- 과적합은 되지 않았지만 층을 늘려도 좋은 성능을 낼 수 있음
plt.figure(figsize = (12, 4))
plt.subplot(1, 2, 1)
plt.plot(hist_3.history['loss'], 'b--', label = 'loss')
plt.plot(hist_3.history['val_loss'], 'r:', label = 'val_loss')
plt.xlabel('Epochs')
plt.grid()
plt.legend()
plt.subplot(1, 2, 2)
plt.plot(hist_3.history['acc'], 'b--', label = 'accuracy')
plt.plot(hist_3.history['val_acc'], 'r:', label = 'val_accuracy')
plt.xlabel('Epochs')
plt.grid()
plt.legend()

model_3.evaluate(x_test, y_test)
# 출력 결과
loss: 0.2157 - acc: 0.9261
[0.21573999524116516, 0.9261000156402588]
11. 모델 성능 높이기(이미지 보강, Image Augmentation)
from tensorflow.keras.preprocessing.image import ImageDataGenerator
image_generator = ImageDataGenerator(
rotation_range = 10,
zoom_range = 0.2,
share_range = 0.6,
width_shift_range = 0.1,
height_shift_range = 0.1,
horizontal_flip = True,
vertival_flip = False
)
augment_size = 200
print(x_train.shape)
print(x_train[0].shape)
# 출력 결과
(60000, 28, 28, 1)
(28, 28, 1)
x_augment = image_generator.flow(np.tile(x_train[0].reshape(28 * 28 * 1), augment_size).reshape(28 * 28 * 1),
np.zeros(augment_size), batch_size = augment_size, shuffle = False).next()[0]
plt.figure(figsize = (10, 10))
for i in range(1, 101):
plt.subplot(10, 10, i)
plt.axis('off')
plt.imshow(x_augment[i - 1].reshape(28, 28), cmap = 'gray')

- 위의 코드를 사용해 학습에 사용할 데이터 추가
from tensorflow.keras.preprocessing.image import ImageDataGenerator
image_generator = ImageDataGenerator(
rotation_range = 15,
zoom_range = 0.1,
share_range = 0.6,
width_shift_range = 0.15,
height_shift_range = 0.1,
horizontal_flip = True,
vertival_flip = False
)
augment_size = 30000
random_mask = np.random.randint(x_train.shape[0], size = augment_size)
x_augmented = x_train[random_mask].copy()
y_augmented = y_train[random_mask].copy()
x_augmented = image_generator.flow(x_augmented, np.zeros(augment_size),
batch_size = augment_size, shuffle = False).next()[0]
x_train = np.concatenate((x_train, x_augmented))
y_train = np.concatenate((y_train, y_augmented))
# 생성한 augment 30000개가 더 추가됨
print(x_train.shape)
# 출력 결과
(90000, 28, 28, 1)
- 모델 학습 및 결과 시각화
model_4 = build_model_3()
model_4.summary()
# 출력 결과
Model: "model_4"
_________________________________________________________________
Layer (type) Output Shape Param #
=================================================================
input_5 (InputLayer) [(None, 28, 28, 1)] 0
conv2d_13 (Conv2D) (None, 28, 28, 32) 320
conv2d_14 (Conv2D) (None, 26, 26, 64) 18496
max_pooling2d_5 (MaxPooling (None, 13, 13, 64) 0
2D)
dropout_6 (Dropout) (None, 13, 13, 64) 0
conv2d_15 (Conv2D) (None, 13, 13, 128) 73856
conv2d_16 (Conv2D) (None, 11, 11, 256) 295168
max_pooling2d_6 (MaxPooling (None, 5, 5, 256) 0
2D)
dropout_7 (Dropout) (None, 5, 5, 256) 0
flatten_4 (Flatten) (None, 6400) 0
dense_12 (Dense) (None, 256) 1638656
dropout_8 (Dropout) (None, 256) 0
dense_13 (Dense) (None, 100) 25700
dropout_9 (Dropout) (None, 100) 0
dense_14 (Dense) (None, 10) 1010
=================================================================
Total params: 2,053,206
Trainable params: 2,053,206
Non-trainable params: 0
_________________________________________________________________
hist_4 = model_4.fit(x_train, y_train,
epochs = 25,
validation_spli = 0.3,
batch_size = 128)

plt.figure(figsize = (12, 4))
plt.subplot(1, 2, 1)
plt.plot(hist_4.history['loss'], 'b--', label = 'loss')
plt.plot(hist_4.history['val_loss'], 'r:', label = 'val_loss')
plt.xlabel('Epochs')
plt.grid()
plt.legend()
plt.subplot(1, 2, 2)
plt.plot(hist_4.history['acc'], 'b--', label = 'accuracy')
plt.plot(hist_4.history['val_acc'], 'r:', label = 'val_accuracy')
plt.xlabel('Epochs')
plt.grid()
plt.legend()

model_4.evaluate(x_test, y_test)
# 출력 결과
loss: 0.2023 - acc: 0.9313
[0.2023032009601593, 0.9312999844551086]
- 학습 인자를 이전과 다르게 주면서 학습하면 더 잘 나올 것
'Python > Deep Learning' 카테고리의 다른 글
| [딥러닝-케라스] 케라스 전이학습 (1) | 2023.05.17 |
|---|---|
| [딥러닝-케라스] 케라스 CIFAR10 CNN 모델 (0) | 2023.05.16 |
| [딥러닝-케라스] 케라스 컨볼루션 신경망 (0) | 2023.05.13 |
| [딥러닝-텐서플로우] 텐서플로우 Data API (1) | 2023.05.12 |
| [딥러닝-케라스] 케라스의 다양한 학습 기술 (0) | 2023.05.11 |